| 替诺福韦酯杂质列表(Tenofovir disoproxil Impurity-上海启太) | ||||||||||
| 序号 | 产品名 | 英文名 | 结构式 | CAS号 | 分子量 | |||||
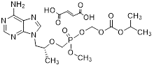
| 1 | Me-POC PMPA | 
					Mono-POC Methyl Tenofovir Fumarate  | 
				
					
  | 
				1246812-16-7 (free base) | 
					C15H24N5O7P. C4H4O4 417.36 116.07  | 
			|||||
| 2 | 
					MOC-POC PMPA (WHO-B)  | 
				Mono-POC Tenofovir Fumarate | 
					
  | 
				1246812-43-0 (free base) | 
					C17H26N5O10P. C4H4O4 491.40 116.07  | 
			|||||
| 3 | DEC-POC PMPA | 
					Diethylamino carboxymethyl POC Tenofovir Fumarate  | 
				
					
  | 
				NA | 
					C20H33N6O9P. C4H4O4 532.49 116.07  | 
			|||||
| 4 | 
					nPOC-POC PMPA (WHO-H)  | 
				
					n-POC-POC Tenofovir Fumarate  | 
				
					
  | 
				1217542-13-6 (freebase) | 
					C19H30N5O10P. C4H4O4 519.45 116.07  | 
			|||||
| 5 | 
					替诺福韦单吡呋酯 (WHO-A)  | 
				
					Tenofovir Disoproxil Related Compound E  | 
				
					
  | 
				211364-69-1 | C14H22N5O7P 403.33 | |||||
| 6 | 
					替诺福韦单吡呋 单乙氧基羰氧基甲酯 EOC-POC PMPA (USP、WHO-M)  | 
				
					Tenofovir Disoproxil Impurity EOC-POCPMPA Fumarate  | 
				
					
  | 
				1422284-17-0 | 
					C18H28N5O10P. C4H4O4 505.43 116.07  | 
			|||||
| 7 | 
					6-异丙氧甲酰胺 替诺福韦二吡呋酯 (WHO-E)  | 
				Tenofovir Disoproxil Carbamate | 
					
  | 
				1244022-54-5 | C23H36N5O12P 605.54 | |||||
| 8 | 
					替诺福韦二吡呋酯 二聚体 (WHO-J)  | 
				
					Tenofovir Disoproxil Dimer  | 
				
					
  | 
				1093279-76-5 | 
					C39H60N10O20P2 1050.92  | 
			|||||
| 9 | 
					替诺福韦单吡呋酯 二聚体 (WHO-F)  | 
				
					Mono-POC Dimer  | 
				
					
  | 
				NA | 
					C29H44N10O14P2 818.67  | 
			|||||
| 10 | 
					替诺福韦酯 混合二聚体 (WHO-I)  | 
				Mixed Dimer | 
					
  | 
				1093279-77-6 | 
					C34H52N10O17P2 934.79  | 
			|||||
| 11 | 
					替诺福韦酯 混合三聚体  | 
				
					IPC-Mixed Trimer  | 
				
					
  | 
				NA | 
					C53H80N15O26P3 1436.22  | 
			|||||
| 12 | 
					替诺福韦酯杂质E (国际药典第7版)  | 
				
					Tenofovir Disoproxil Impurity E (Mono-POC Tenofovir 6-Isopropyl Carbomate)  | 
				
					
  | 
				1244022-56-7 | C18H28N5O9P 489.43 | |||||
| 13 | 
					替诺福韦酯杂质L (国际药典第7版)  | 
				
					Dimethylamino carboxymethyl POC Tenofovir Fumarate  | 
				
					
  | 
				NA | H29N6O9P. C4H4O4 504.44 116.07 | |||||
| 14 | 
					iPr-POC PMPA (WHO-D)  | 
				Mono-POC Isopropyl Tenofovir | 
					
  | 
				1246812-40-7 | 
					C17H28N5O7P 445.41  | 
			|||||
| 15 | 去甲基替诺福韦酯 | Desmethyl Tenofovir disoproxil | 
					
  | 
				NA | 
					C18H28N5O10P 505.42  | 
			|||||
| 16 | N6-CH2OH-POC PMPA | Tenofovir Disoproxil Fumarate Impurity(N6-CH2OH-POC PMPA) | 
					
  | 
				NA | 
					C15H24N5O8P 433.36  | 
			|||||
| 17 | 
					替诺福韦酯杂质K WHO-K  | 
				9-propenyl adenine | 
					
  | 
				4121-40-8 | 
					C8H9N5 175.20  | 
			|||||
| 18 | 
					替诺福韦酯 对映异构体  | 
				(S)-Tenofovir Disoproxil Fumarate | 
					
  | 
				1432630-26-6 | 
					C19H30N5O10P. C4H4O 519.45 116.07  | 
			|||||
 上一篇:西咪替丁杂质列表 
          下一篇:阿托伐他汀钙杂质列表